01 研究背景
随着先进电子设备与脉冲电源系统的快速发展,对高性能储能电容器的需求日益增长。在众多储能装置中,介质薄膜电容器凭借其充放电速度快、使用寿命长、可靠性高以及体积小、储能密度大等显著优势,已成为实现电子设备小型化、集成化和紧凑化设计的理想选择。其中,弛豫铁电薄膜因其具备高极化强度、优异的抗疲劳性及高温稳定性,被视为极具潜力的研究方向。然而,如何在确保稳定输出的同时,兼顾高能量密度与高能量效率,仍是制约其广泛应用的瓶颈。传统上,强弛豫特性可通过掺杂或固溶体手段实现,但由此形成的极性纳米区域虽有助于降低剩余极化,却往往伴随极化强度的显著减弱。尽管高电场下极性纳米区域的有序排列可缓解极化下降,但过高的电场会诱发过量漏电流并导致电击穿,从而加速器件失效。因此,开发中低电场下具有优异储能性能的材料成为关键的研究方向。在这一背景下,通过插层策略在Bi5Ti3FeO15薄膜中插入弱形畴势能的BiAlO3钙钛矿单元,协同优化高弛豫特性与高极化行为,为突破当前弛豫铁电薄膜电容器的储能性能提供了重要的设计思路。
02 成果简介
在中、低外加电场下具有高能量密度和快速充放电性能的新型无铅介电薄膜电容器对于电气和电子系统至关重要。近日,内蒙古工业大学铁电功能材料与器件课题组提出了一种通过插层策略提高Aurivillius相薄膜储能性能的有效且直接的方法。将具有弱形畴势能的BiAlO3钙钛矿单元插入到Bi5Ti3FeO15 (BTFO)晶格中,成功构筑了五层钙钛矿结构的Bi6Ti3FeAlO18 (BTFAO)弛豫铁电薄膜。该策略通过破坏长程有序的铁电畴构建极性纳米微区,有效提升了最大极化并降低了剩余极化;同时,利用 (Bi2O2)2+层阻挡空间电荷迁移及晶粒细化抑制了漏电流,结果表明,在1500 kV/cm的电场下,Bi6Ti3FeAlO18薄膜表现出67.5 J/cm3的优异储能密度,以及75.5%的高储能效率。此外,Bi6Ti3FeAlO18薄膜在-30℃至150℃的温度范围内表现出出色的热稳定性,在0.05 kHz 至 20.00 kHz的频率范围内具有良好的频率稳定性,并且在1×108次循环后仍具有出色的抗疲劳性。本研究成果不仅显著提升了薄膜电容器的综合储能性能,也为优化铋层状结构材料在中低电场下的应用提供了指导。
03 主要研究内容

图1本文设计思路图

图2 (a)室温下BTFO和BTFAO薄膜的XRD图谱。(b) (119)和(1111)衍射峰的放大图。(c)BTFO和BTFAO薄膜的拉曼光谱。(d) BTFO薄膜和(e) BTFAO 薄膜的表面SEM微观图;BTFO薄膜中(f) Bi、(g) Ti、(h) Fe 和(i) O的EDS元素分布图;BTFAO 薄膜中(j) Bi、(k) Ti、(l) Fe、(m) Al 和(n) O的EDS元素分布图;(o) BTFO薄膜和(p) BTFAO薄膜的截面SEM图像;(q)两种薄膜的元素分布分析。

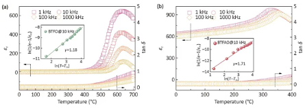
图3 (a)BTFO和(b) BTFAO薄膜的变温介电谱及弛豫系数拟合。

图4 (a)BTFO和(b) BTFAO薄膜在不同电场下的P–E回线和I–E曲线。

图5(a) BTFO和(b) BTFAO薄膜的TEM电畴图。

图6(a) BTFO和(b) BTFAO薄膜PFM写畴图

图7 (a) BTFO和BTFAO薄膜的威布尔分布,(b)光学带隙和(c)漏电流密度。(d) BTFO和BTFAO薄膜的Wrec和(e) η。(f)与其他薄膜电容器的储能特性比较

图8 (a) BTFAO薄膜在-30℃至150℃ 间的P–E回线。(b) 1500 kV/cm电场下BTFAO薄膜随温度变化的Pr、Pmax和Pmax-Pr。(c)不同温度下计算的Wrec和η。(d)BTFAO薄膜在0.05 kHz至20.00 kHz间的P–E回线。(e) 1500 kV/cm电场下BTFAO薄膜随温度变化的Pr、Pmax和Pmax-Pr。(f) 不同频率下计算的Wrec和η。(g) 经过不同充放电循环后的BTFAO的P–E回线。(h) 1500 V/cm下对BTFAO 薄膜进行多次充放电循环后测量的Pr、Pmax和Pmax-Pr。(i) 不同充放电循环下计算的Wrec和η。
04 团队介绍
内蒙古工业大学铁电功能材料与器件实验室现有教师5名,陈介煜副教授为课题组负责人,目前团队教师有刘全龙教授、唐哲红副教授、郭飞副教授和周云鹏博士。课题组主要从事Aurivillius相铋系层状钙钛矿薄膜和AgNbO3基薄膜的制备、结构、性能及应用研究,相关工作涉及介电储能、铁电光伏、电卡制冷等研究方向。近五年在Chem. Eng. J., J. Eur. Ceram. Soc.,Appl. Phys. Lett.,J. Materiomics, Scr. Mater., J. Mater. Chem. A, Opt. Express, Nanoscale, Phys. Chem. Chem. Phys.,Phys. Status Solidi RRL,J. Phys. Chem. C,J. Alloy Compd.,Tungste等期刊上发表论文60余篇。课题组学术氛围浓厚,科研条件优越,欢迎相关专业的同学报考!
